首页
学院概况
学院简介
现任领导
机构设置
办公电话
专业介绍
学科建设
人才培养
专业建设
课程建设
教学科研
基地建设
虚拟仿真
师资队伍
师资概况
教授风采
博士风采
党建工作
组织机构
入党导航
党日活动
组织动态
党章党规
学生工作
团学工作
学习园地
学生风采
心灵驿站
学生作品
就业工作
就业政策
就业信息
就业方向
规章制度
资料下载
学生风采
学生风采
首页
学生工作
学生风采
学生工作
团学工作
学习园地
学生风采
心灵驿站
学生作品
学生风采
手拉手共护粮食安全,聚合力同创美好未来——“粮食节约,人人有责”世界粮食日主题活动
近日,德赢VWIN成功举办了以“粮食节约,人人有责”为主题的世界粮食日系列活动。本次活动旨在响应联合...
2025-10-22
暑期社会实践(七)安全启蒙伴童行 创意启航暑期梦 ——德赢VWIN“宁韵童行”志愿队开营仪式
一场生动的安全知识讲座,一次兼具趣味与挑战的知识接力竞赛,人手一份独具个人特色的举牌小扇子,一张汇聚...
2025-07-19
暑期社会实践(六)“星火交融·勇士集结” 德赢VWIN“童心圆”支教团队长征主题活动日圆满收...
2025年7月16日,在革命热土江西吉安曲濑镇长乐小学,红旗猎猎,迎风招展。童心圆公益支教团队在此启动“星...
2025-07-19
暑期社会实践(五)萤火汇聚社区,共育成长沃土 ——德赢VWIN“萤星绘梦”实践团开营仪式暨实...
火红七月,青春力量在社区沃土上蓬勃涌动。7月13日上午,南京第五初级中学冶城校区内气氛热烈,教育科学学...
2025-07-16
暑期社会实践(四)非遗美育润童心 特色课程助成长 ——德赢VWIN“童心圆”公益支教团队特色课...
南京特殊教育师范学院德赢VWIN“童心圆”公益支教团队一行13人,携精心研发的特色课程,奔赴江西吉安曲...
2025-07-16
暑期社会实践(三)青春筑梦峡山畔,烛梦启航向未来 —德赢VWIN“烛梦未来”公益团队前往江西...
为了响应国家乡村振兴的号召,聚焦“科学启蒙助力乡村振兴”与“红色文化铸魂育人”的时代命题。7月9日上午...
2025-07-11
暑期社会实践(二)“童心筑梦,圆爱同行”——童心圆公益支教团队夏令营开营仪式圆满举行
童心汇聚爱,圆梦在支教。2025年7月9日上午,南京特殊教育师范学院德赢VWIN“童心圆”公益支教团队与江...
2025-07-09
暑期社会实践(一)墨香童趣伴成长 暑托管理初体验 ——德赢VWIN“驿路童行”团队暑期社会实践...
7月7日,“驿路童行”志愿服务团队正式启程,兵分两路分别走进南京市秦淮区朝天宫街道张府园社区和止马营社...
2025-07-09
党旗辉映聚民心 红霞跃动凝师魂——德赢VWIN成功举办第六届中华剪纸展
为丰富学生的课余生活,提升学生们的动手能力和创造力,展现学前教育专业学生扎实的手工技能,传承剪纸这一...
2025-06-10
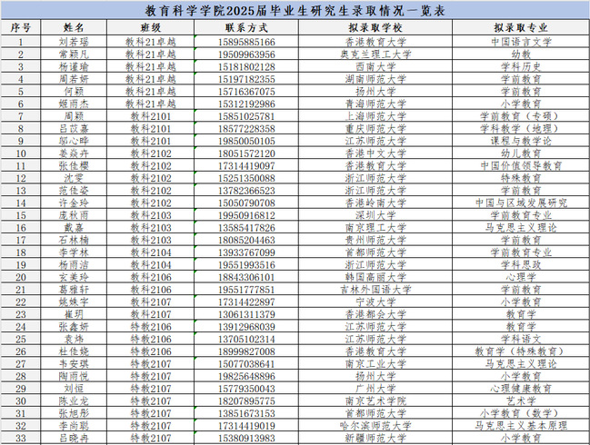
执书卷以问鼎 秉初心而致远——德赢VWIN2025届毕业生考研喜报
截至2025年5月,德赢VWIN2025届毕业生在全国硕士研究生招生考试中再奏凯歌,25名学子成功考取西南大学...
2025-05-12
德赢VWIN女子排球队在校排球比赛中喜获佳绩
为发展校园体育运动,营造积极健康的校园文化氛围,促进各学院之间的友好交流,德赢VWIN女子排球队积极...
2024-10-18
德赢VWIN举办“盛世华章庆华诞,妙笔诗韵颂祖国”系列活动
在金秋送爽、举国同庆的美好时节,我们迎来了中华人民共和国成立75周年华诞。回望往昔,七十五载风雨兼程,...
2024-09-30
情暖军训共话中秋——德赢VWIN开展军训中秋慰问活动
时逢佳节秋意浓,心系学子情意深。值此中秋佳节来临之际,为深入了解新生入学以来的情况,传递学院温暖,鼓...
2024-09-17
暑期社会实践(十三)陕西百技 教承非遗——德赢VWIN“扶光启橙”支教团队开展特色非遗课程
为进一步弘扬和传承中国非物质文化遗产,增强美育熏陶,激发学生对非遗文化的求知欲,德赢VWIN扶光启橙...
2024-08-21
暑期社会实践(十二)运动激活正能量,团辅点亮心灵光——德赢VWIN“烛梦未来”支教团队开展健...
为进一步丰富支教地儿童的精神文化生活,倡导积极健康的生活方式,促进儿童身心健康发展。2024年7月11日,...
2024-08-04
暑期社会实践(十一)“我真的很不错”——德赢VWIN “扶光启橙”支教团队开展心理团辅活动
2024年7月9日下午,南京特殊教育师范学院“扶光启橙”暑期支教团队在陕西省勉县褒城镇邹寨小学开展了“我真...
2024-07-25
暑期社会实践(十)追寻红色记忆,铸造青春梦想——德赢VWIN“萤星绘梦”实践团开展爱国主义教...
为积极响应国家“双减”政策,解决南京七家湾社区暑期学生“看护难”的问题,德赢VWIN“萤星绘梦”实践...
2024-07-25
暑期社会实践(九)传承博爱 点亮星星——德赢VWIN孤独症儿童研学营开展暑期社会实践活动
在南京市栖霞区残联和南京特师德赢VWIN领导的大力支持下、教科院老师们的指导下,传承博爱,点亮星星——...
2024-07-25
暑期社会实践(八)非遗进校园,融爱育人心——童心圆公益支教团队前往陕西商洛开展支教夏令营
七月的天空流光溢彩,七月的大地笑语欢歌,2024年7月17日上午,漫川关镇中心小学的校园里充溢着欢声笑语,...
2024-07-18
暑期社会实践(七)心灵花园的守护者 ——携手并进,让融合教育与心理健康同频共振
为深入贯彻落实中央教育部、中国残联等部门下发的《“十四五”特殊教育发展提升行动计划》等文件精神,引导...
2024-07-16
每页
20
记录
总共
70
记录
第一页
<<上一页
下一页>>
尾页
页码
1
/
4
跳转到